消防水泵如何选型?
发布日期:2020-05-01
消防水泵是消防上专用的水泵,一般在发生火灾时启动,是整个消防系统中重要的组成部分,负责将生命之水运送到消防系统,以保障消防安全,扑灭火灾。消防泵选型的主要依据是 Q( 流量) 、 H( 扬程) 、 η( 效率) 。把这几个技术参数的计算公式进行归纳总结,在根据具体情况,使用其中的公式进行计算。以下是消防水泵、泵组以及它们之间相互关系和选型要点。
一、水泵的选型依据
水泵的选型主要是根据流量和扬程来确定,即用水量Q是随时发生变化的,而扬程H随之而变。一般Q越大,H越低。
1.1流量
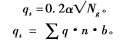
1(给水泵一般按照秒流量计Ng 为用水器具当量数, U 为同时出流概率。
a. 用水量不集中,比如住宅,按照 qg =0. 2U·Ng。
b. 用水量集中的分别按照以下公式:
水泵扬程计算公式: H = Ho + ΔH + h。
其中Ho 为最不利点所需压力,ΔH 为最不利点与蓄水池( 箱) 水面高差,h为全部水头损失。其中 HoΔH 比较明确,根据规范要求和图纸中数据可以得到。消火栓如果充实水柱为10 mHo ,可以取0.25 MPa。根据自身要求可以知道 Ho,而 ΔH 可以根据图纸中的标高得出。
1.3功率和效率
水泵的正确选型需要弄清楚水泵的工作原理,不仅要确定 Q、H,还要选择高效区。下面我们先熟悉以下几个概念:
1) 有效功率 Ny = ρgQH;
2) 轴功率 N;
3) 水泵效率 η = Ny /N。
η 在平面坐标上是一条抛物线,有一个峰值,峰值对应一个流量Q'。所谓高效区就是这个流量坐标两侧的流量值所确定的区间,当水泵的流量位于这个区间时,对应的 η 较高,其中包含 η 的峰值。而我们选择水泵,一般要把设计流量选择在 Q'的右侧,即效率曲线的下降段,这是为了保证水泵始终在高效段运行。另外还需要掌握一个概念,水泵的原动机( 电机) 功率 Nj = N/η',这是因为原动机( 电机) 带动水泵叶轮工作时也有能量损失,也存在一个效率,即电机效率 η'。
二、工频水泵单泵的选型
2.1单级泵
仅 1 个叶轮的水泵为单级泵,水泵总是与一定的管路系统相连的,管路有它的工况曲线,工况曲线也是由流量Q、扬程 H 确定的,即 H = H1 + SQ2, H1 是整个系统静扬程,S是管道比阻。水泵的实际流量是它的性能曲线和管道工况 曲线的交点对应的数值。
2.2多级泵
多级泵是进出水段和中段通过拉杆组合在一起的离心泵,具有2个或2个以上叶轮,也是依靠叶轮的旋转获取离心力,它的输出压力可以很大,扬程可根据需要增减叶轮的级数来满足要求。
三、变频泵的选型
变频泵不同于工频泵,其转速不恒定。它是根据用水量的变化,智能调节水泵的转速。用水量增大时自动升速,反之降速。实时动态调节,保障用户末端的压力恒定。不仅通过调速来调节流量,实际还要运用泵的组合,根据用水量的变化,控制水泵的运行台数来调节流量,这种变频加并联的组合可以适应流量较大范围的变动,同时扬程基本稳定,达到高效节能的要求。成套设备的水泵一般为并联组合,即扬程确定后,根据流量来确定需要运行的泵的台数。一般泵的组合为同种型号,并联流量小于单泵运行时每台泵流量的叠加。以设计流量 118 m3 /h、扬程 54 m 为例,这时选择两台型号为 100-6455 的多级泵并联即可满足要求,并且应设置一台同型号的泵备用。
这种设备主要是出于节能的考虑,可以利用市政管网压力而又不产生负压,不影响其他用户。其不同于普通水泵的配套设施有稳流补偿器、真空抑制器、旁通以及小型水箱。这些设置都是为了利用市政压力和不影响本设备前端管网压力。其核心设备是变频泵组。整体设备选型实际还是选泵组,方法同上。只不过运行过程中因利用市政管网压力,扬程可以减小,比如市政管网压力为0.35 MPa ~ 0.3 MPa,如果用水系统 Q =58 m3 /h,H =54 m,实际运行时水泵扬程可以减小0.30 MPa( 30 m) ,即扬程为 24 m 就能 正常供水,节能效果显著,而当市政压力用水高峰时段不能 利用时,可以通过变频泵组的调节作用来实现正常供水。
一、水泵的选型依据
水泵的选型主要是根据流量和扬程来确定,即用水量Q是随时发生变化的,而扬程H随之而变。一般Q越大,H越低。
1.1流量
1(给水泵一般按照秒流量计Ng 为用水器具当量数, U 为同时出流概率。
a. 用水量不集中,比如住宅,按照 qg =0. 2U·Ng。
b. 用水量集中的分别按照以下公式:

水泵扬程计算公式: H = Ho + ΔH + h。
其中Ho 为最不利点所需压力,ΔH 为最不利点与蓄水池( 箱) 水面高差,h为全部水头损失。其中 HoΔH 比较明确,根据规范要求和图纸中数据可以得到。消火栓如果充实水柱为10 mHo ,可以取0.25 MPa。根据自身要求可以知道 Ho,而 ΔH 可以根据图纸中的标高得出。
1.3功率和效率
水泵的正确选型需要弄清楚水泵的工作原理,不仅要确定 Q、H,还要选择高效区。下面我们先熟悉以下几个概念:
1) 有效功率 Ny = ρgQH;
2) 轴功率 N;
3) 水泵效率 η = Ny /N。
η 在平面坐标上是一条抛物线,有一个峰值,峰值对应一个流量Q'。所谓高效区就是这个流量坐标两侧的流量值所确定的区间,当水泵的流量位于这个区间时,对应的 η 较高,其中包含 η 的峰值。而我们选择水泵,一般要把设计流量选择在 Q'的右侧,即效率曲线的下降段,这是为了保证水泵始终在高效段运行。另外还需要掌握一个概念,水泵的原动机( 电机) 功率 Nj = N/η',这是因为原动机( 电机) 带动水泵叶轮工作时也有能量损失,也存在一个效率,即电机效率 η'。
二、工频水泵单泵的选型
2.1单级泵
仅 1 个叶轮的水泵为单级泵,水泵总是与一定的管路系统相连的,管路有它的工况曲线,工况曲线也是由流量Q、扬程 H 确定的,即 H = H1 + SQ2, H1 是整个系统静扬程,S是管道比阻。水泵的实际流量是它的性能曲线和管道工况 曲线的交点对应的数值。

2.2多级泵
多级泵是进出水段和中段通过拉杆组合在一起的离心泵,具有2个或2个以上叶轮,也是依靠叶轮的旋转获取离心力,它的输出压力可以很大,扬程可根据需要增减叶轮的级数来满足要求。
三、变频泵的选型
变频泵不同于工频泵,其转速不恒定。它是根据用水量的变化,智能调节水泵的转速。用水量增大时自动升速,反之降速。实时动态调节,保障用户末端的压力恒定。不仅通过调速来调节流量,实际还要运用泵的组合,根据用水量的变化,控制水泵的运行台数来调节流量,这种变频加并联的组合可以适应流量较大范围的变动,同时扬程基本稳定,达到高效节能的要求。成套设备的水泵一般为并联组合,即扬程确定后,根据流量来确定需要运行的泵的台数。一般泵的组合为同种型号,并联流量小于单泵运行时每台泵流量的叠加。以设计流量 118 m3 /h、扬程 54 m 为例,这时选择两台型号为 100-6455 的多级泵并联即可满足要求,并且应设置一台同型号的泵备用。

这种设备主要是出于节能的考虑,可以利用市政管网压力而又不产生负压,不影响其他用户。其不同于普通水泵的配套设施有稳流补偿器、真空抑制器、旁通以及小型水箱。这些设置都是为了利用市政压力和不影响本设备前端管网压力。其核心设备是变频泵组。整体设备选型实际还是选泵组,方法同上。只不过运行过程中因利用市政管网压力,扬程可以减小,比如市政管网压力为0.35 MPa ~ 0.3 MPa,如果用水系统 Q =58 m3 /h,H =54 m,实际运行时水泵扬程可以减小0.30 MPa( 30 m) ,即扬程为 24 m 就能 正常供水,节能效果显著,而当市政压力用水高峰时段不能 利用时,可以通过变频泵组的调节作用来实现正常供水。

在实际项目工程中,消防泵的选型会根据流量、扬程、功率选取合适建筑的型号,以保障消防水泵在日后能正常使用,而懂得如何选型,是必不可少的。

